ILTPC Newsletter 14
8 June 2021
Download the Newsletter as a PDF file
Table of Contents
- Call for contributions
- Images
- Invited LTP perspectives
- Leaders of the LTP Community
- General interest announcements
- Meetings and online seminars
- Community initiatives and special issues
- Research highlights and breakthroughs
- New resources
- Career opportunities
- Collaborative opportunities
Call for Contributions
Please submit content for the next issue of the Newsletter. Please send your contributions to iltpc-central@umich.edu by July 9, 2021. Please send contributions as MS-Word files if possible – and avoid sending contributions as PDF files.
In particular, please send Research Highlights and Breakthroughs using this template. The highlight consists of an image and up to 200 words of text; please also send your image as a separate file (the recommended image format is JPG or PNG; the minimum file width is 800 px). The topic can be anything you want - a recently published work, a new unpublished result, a proposed new area of research, company successes, anything LTP-related. Please see the Research highlights and breakthroughs for examples.
Images to Excite and Inspire!
Thank you for submitting your images, some of which are shown here. Those images already submitted will appear in later Newsletters. Please do send your images (with a short description or source) to iltpc-central@umich.edu. The recommended image format is JPG or PNG; the minimum file width is 800 px.
(Click the image to enlarge.)
Prof. David N. Ruzic, University of Illinois, USA, druzic@illinois.edu.
Z. Jeckell et al., Surfaces and Interfaces 23, 100989 (2021).
Invited LTP Perspectives: Policy, Opportunities, Challenges
Importance of Academic Research in Plasmas to the Semiconductor Plasma Equipment Industry
Life in 2021 would be difficult to imagine without microelectronics devices, which power our laptops, smartphones, cars, and cloud-based services. Low-temperature plasmas play an important role in the fabrication of these microelectronics devices. Technologies such as plasma etching, plasma-enhanced chemical vapor deposition, and magnetron metal deposition make the economic fabrication of nanoscale electronic devices possible. Plasma processing tools in most modern semiconductor fabrication facilities are made by semiconductor equipment companies such as Applied Materials, Lam Research, and Tokyo Electron. These companies collectively invest hundreds of millions of US dollars each year on the development and refinement of their plasma processing equipment. Most of this research and development (R&D) investment is, however, directed towards addressing short-term manufacturing concerns and extending the usage of the existing plasma tools.
Academic research laboratories (including national laboratories) have historically played a vital role in the exploration of new plasma technologies and the development of fundamental knowledge that is critical to industrial plasma equipment development. Academic labs pioneered the exploration of techniques such as pulsed plasmas and atomic layer etching, which have then been refined by semiconductor equipment companies for large-scale manufacturing. Plasma equipment design heavily relies on the fundamental understanding of low-temperature plasma physics and plasma–surface interactions, which has mostly been developed in academic labs. Plasma modeling has become a critical equipment design tool in the fast-paced semiconductor industry. Most modeling methodologies used for simulating processing plasmas have originated in academic research labs. Similarly, the development of plasma diagnostics used to experimentally probe low-temperature plasmas owes its debt of gratitude to academic research labs.
The focus of academic research in low-temperature plasmas has shifted away from semiconductor manufacturing in recent years. However, with the semiconductor industry aggressively pushing the limits of what is technologically possible, the number of fundamental plasma physics and technology challenges continues to grow. Modern microelectronics devices increasingly need to be fabricated with atomic-scale precision, and much is unknown about plasma–surface interactions at such scales. Without a fundamental understanding of the underlying energetics, brute-force energy-hungry methods are often used for many plasma processing applications. The semiconductor equipment industry needs the expertise of plasma scientists more than ever in helping solve their most pressing problems.
While exploring avenues for future research, academic research groups are encouraged to look at the scientific challenges in the semiconductor industry for inspiration. Innovative thinking is perhaps required in identifying fundamental scientific questions that are attractive to funding agencies such as the National Science Foundation (NSF) in the US, and its international counterparts (e.g., DFG – German Research Foundation; EPSRC – UK Engineering and Physical Science Research Council) while also being relevant to semiconductor applications. Opportunities for collaborative research such as the NSF GOALI program should be explored to collaborate with industrial partners. Please continue engaging with your colleagues in the semiconductor equipment industry to identify interesting research problems.
Dr. Shahid Rauf Managing Director, Applied Materials, Inc. Shahid_Rauf@amat.com
Leaders of the LTP Community: Career Profiles
Professor Steven Girshick – From the Nanoscale to the Big Leadership Perspective
Steven L. Girshick retired in May 2020 as Kenneth T. Whitby Professor of Mechanical Engineering at the University of Minnesota, where he was a faculty member for 35 years. For three and a half decades, Girshick was an active member and leader of the low temperature plasma community.
Having received his Bachelor of Science degree in Humanities and Science from MIT, his scientific papers and proposals were not only creative and logical, but they were also written in the most impeccable English. After graduation, Girshick took a break from school and considered becoming a writer and worked, among other jobs, as a librarian. Later, recognizing that only few writers and even fewer librarians make a good living, he enrolled in Mechanical Engineering at Stanford University, where he received his M.S. degree in 1981 and a Ph.D. in 1985 under the supervision of Charles Kruger, working in the field of magneto-hydrodynamic energy conversion.
Right after receiving his Ph.D. degree, Girshick and his family moved from the sunny Bay Area to Minneapolis, MN, to join the High Temperature Laboratory that had been established in 1964 by Professor Emil Pfender in the Mechanical Engineering Department. While in September 1985, this did not seem like a bad idea, just a few weeks later Girshick had the opportunity to become accustomed to harsh Minnesota winters.
The severe lack of a generous start-up package and of laboratory space, and the constant danger of catching frost bite in the winter months convinced Girshick to work hard (what else could one do during the Minnesota winter?) and initially focus on theoretical work. He soon became widely known for his pioneering work on nucleation theory of clusters and nanoparticles in plasmas. Later, he established a highly regarded experimental program in nanomaterials synthesis with thermal plasmas.
Throughout his career, Girshick provided crucial and timely leadership to the low temperature plasma community. After a previous Gordon Research Conference on Plasma Manufacturing had faltered, Girshick revived the conference and in 1996 became the founding chair of the biannual Gordon Research Conference on Plasma Processing Science, which successfully continues until today. From 2000-03, he served as the founding president of the International Plasma Chemistry Society. He also served as Editor-in-Chief of the journal Plasma Chemistry and Plasma Processing from 2005-14. Among his many awards to recognize his contributions are the 2005 Plasma Chemistry Award and his 2009 selection to be a Fellow of the International Plasma Chemistry Society.
While being a leader to his community, Girshick is also a close personal friend to many of his colleagues around the world. More than 80 attendees from around the globe joined his virtual Zoom retirement party on May 9, 2020, many staying up late past their regular bedtimes. While Girshick is about to move from Minneapolis to join his two daughters and their families in Berkeley, CA, we expect to see him at future conferences to share friendship and our joint curiosity in the wonders of low temperature plasmas.
Prof. Uwe Kortshagen University of Minnesota, USA korts001@umn.edu
General Interest Announcements
International Research Collaboration Partnership between the US National Science Foundation and Czech Science Foundation
The U.S. National Science Foundation (NSF) and the Czech Science Foundation signed a Memorandum of Understanding establishing an international research collaboration partnership. Under this first formal partnership, the two agencies will collaborate on artificial intelligence, nanotechnology and plasma science. Further details about the proposal submission process under this new partnership will be provided in a forthcoming NSF Dear Colleague Letter. For more background:
- NSF announces international research collaboration partnership with Czech Science Foundation
- Unique Opportunity for Czech Scientists to Work Together with U.S. Colleagues - The Czech Science Foundation (GACR)
Dr. Vyacheslav (Slava) Lukin National Science Foundation, USA vlukin@nsf.gov
Meetings and Online Seminars
Online LTP Seminar (OLTP)
The Online Low Temperature Plasma (OLTP) Seminar series schedule for January – June 2021 has been updated. The next seminars will be presented by Dr. Dayun Yan (June 22, 2021) and Prof. Andrei Smolyakov (July 6, 2021).
International Online Plasma Seminar (IOPS)
The International Online Plasma Seminar (IOPS) is a non-profit international seminar on low temperature plasma science with bi-weekly sessions via Zoom. The main purpose of the seminar is to make high quality research results in low temperature plasma science available to our community to foster scientific discussion. Based on the speaker’s written consent, presentations will be recorded and will be made available for on-demand download. IOPS speakers can be nominated by anybody and are selected by the IOPS committee. The program for IOPS is available here. Nominations for future speakers can also be made from this page.
The next seminar will be given by Dr. Alejandro Alvarez Laguna (June 17, 2021).
The new program for seminars starting in July 2021 will be posted soon.
To attend IOPS, use this Zoom link.
QPTDat FAIR Research Data in Plasma Surface Technology Workshop
On June 30 to July 1, 2021, the project Quality assurance and linking of research data in plasma technology - QPTDat hosts the virtual workshop: Fair Research Data in Plasma Surface Technology. The goal of the workshop is to bring together researchers and users in the field of plasma surface technology with research data management experts to discuss requirements and opportunities of data management in accordance with the FAIR principles. On the first day, different tools which on the one hand can support data producers in making their data FAIR and on the other hand can simplify the reuse of data in terms of data-driven research and development, will be presented and discussed. On the second day, case scenarios from the field of plasma surface technology will be presented in order to evaluate the current data management requirements in this domain. We look forward to a lively discussion with all sides. The collected ideas will be incorporated into the services to be developed in the framework of QPTDat and thus be made available to the community.
Participation in the workshop is free and only possible with prior registration at this link. Registered persons will receive further information about participation in the virtual event a few days before the workshop starts.
Contact: Dr. Markus Becker Leibniz Institute for Plasma Science and Technology (INP) markus.becker@inp-greifswald.de
Community Initiatives and Special Issues
Prof. Noah Hershkowitz Memorial Special Issue, Plasma Sources Science and Technology
Prof. Noah Hershkowitz, founding Editor-in-Chief of Plasma Sources Science and Technology, and distinguished contributor to and pioneer in the field of low temperature plasma physics, passed away on November 13, 2020. If his only accomplishment was establishing PSST as a premier journal for the field, he would have served the discipline extremely well. However, Prof. Hershkowitz’s contributions to low temperature plasmas (LTPs) went well beyond starting PSST, as a scholar, mentor, teacher and innovator. In many ways, Prof. Hershkowitz shaped the way we view, measure and analyze the fundamental processes in LTPs.
In honor of Prof. Hershkowitz’s contributions to the field, PSST will publish the Prof. Noah Hershkowitz Memorial Special Issue. We solicit contributions to this Special Issue on topics in LTPs that Prof. Hershkowitz’s influenced during his productive career, focusing on low pressure plasma transport theory, diagnostics, measurements and modeling; and technologies benefiting from those processes. Topics include, but are not restricted to:
- Sheaths
- Electric Probes
- Laser diagnostics
- Plasma surface interactions
- Consequences of magnetic fields on transport
- Magnetically enhanced plasma sources
- RF and microwave heating
- Electric double layers and solitons
- Plasma processing
Submissions to the Special Issue are due 17 December 2021.
Guest Editors: Prof. Scott Baalrud baalrud@umich.edu Prof. Mark J. Kushner mjkush@umich.edu University of Michigan, USA
Research Highlights and Breakthroughs
Plasma-Conditioned Liquids as Anticancer Therapies In Vivo: Current State and Future Di-rections
This review paper compiles the current state of the art and points out future possible directions in the in vivo research performed on anticancer therapies with Plasma-conditioned liquids. Plasma-conditioned liquids (PCL) are gaining increasing attention in the medical field, especially in oncology, as they have shown great potential as a therapeutic approach in cancer diseases. Although research on this therapy is still in its early stage, PCL have already demonstrated their beneficial effect in different types of cancer in vivo in murine models. However, there is still room for research, as the quantification and identification reactive oxygen and nitrogen species (RONS) in vivo conditions are not yet clarified, dosage regimens are highly variable among studies, and other more relevant in vivo models could be used. Standardized methods are required as much as possible, ensuring, for example, a minimum lag-time between generation of the tumor and initiation of the PCL therapy, followed by a detailed ex vivo analysis.
PCL hold great prospects for anticancer therapy, and having a better understanding of the mechanisms involved in the anticancer action of PCL, as well as the suitable dosage regimens and concentrations of RONS, will enable more rapid clinical use of PCL therapies.
Contact: Prof. Cristina Canal Barnils Dr. Xavi Solé-Martí Universitat Politècnica de Catalunya, Barcelona, Spain cristina.canal@upc.edu xavier.sole.marti@upc.edu
Source: Cancers 13, 452 (2021). https://doi.org/10.3390/cancers13030452.
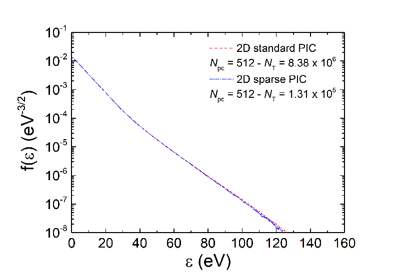
Accelerating Low Temperature Plasma Particle-In-Cell Simulations Using a Hierarchy of Sparse Grids
The use of explicit Particle-In-Cell (PIC) algorithms to model high density low temperature plasmas is challenging due to computational time and space constrains since the electron Debye length (
) and plasma frequency (
) must be resolved for numerical stability. Recent work has demonstrated the interest of using a sparse grid combination technique to accelerate explicit PIC models. In two-dimensional (2D) simulations of capacitively coupled radio frequency discharges, the sparse PIC algorithm is shown to accurately reproduce the plasma profiles as well as the energy distribution functions compared to the standard PIC model. The plasma parameters obtained by these two numerical methods differ by less than 5% while a speed up in the executable time between 2 and 5 is obtained depending on the set-up. A significantly larger gain in computational time is expected for 3D PIC models.
Contact: Dr. Laurent Garrigues CNRS, University of Toulouse, France laurent.garrigues@laplace.univ-tlse.fr
Source: L. Garrigues et al., J. Appl. Phys. 129, 153303 (2021); ibid. 129, 153304 (2021). https://doi.org/10.1063/5.0044363; https://doi.org/10.1063/5.0044865.
The Effect of Water Activated by Non-thermal Air Plasma on the Growth of Farm Plants: Maize and Barley
New applications of plasma activated water (PAW) in agriculture are emerging. Here, the effects of PAW generated by non-thermal air plasma transient sparks with water electrospray or atmospheric glow discharge were investigated on maize (Zea Mays L. var Saccharata) and barley (Hordeum vulgare L.) seedlings. PAW was characterized by measuring concentrations of reactive oxygen and nitrogen species (H2O2, NO2-, NO3-). After 4 weeks of plant growth, the effects of PAW were analysed by measuring plant growth and physiological parameters: plant length and fresh weight, photosynthetic pigments concentration and photosynthesis rate, total soluble proteins, antioxidant enzymes activity and DNA damage. The results suggest that PAW, depending on chemical composition, has the potential to improve the plant growth and influence the physiological parameters, while causing no harmful DNA damage.
Researchers: Gervais B. Ndiffo Yemeli, Renáta Švubová, Dominik Kostolani, Stanislav Kyzek, Zdenko Machala.
Contact: Prof. Zdenko Machala Comenius University, Bratislava, Slovakia machala@fmph.uniba.sk
Source: Plasma Process Polym. 18, e2000205 (2021). https://doi.org/10.1002/ppap.202000205.
Plasma Jets Stabilize Water to Splash Less
Plasma jets impinging on a liquid surface have recently been considered as a basis of chemically treating liquids. For example, efforts are being made to assess the transport of electrons and other reactive species from plasma to the liquid. However, despite its scientific and practical significance, surprisingly little attention has been given to the stabilizing effect that plasma jets may have on the plasma–liquid interface. Here, we demonstrate the stabilization of liquid instabilities by a weakly ionized helium gas jet impinging on water, a process that profoundly affects the water surface.
Special attention was given to the interfacial dynamics relevant to electrohydrodynamic (EHD) gas flow, the so-called electric wind. A plasma jet consisting of plasma bullets exerts more force via EHD flow on the water surface than a neutral gas jet alone, resulting in cavity expansion without destabilization. Furthermore, both the bidirectional EHD flow and parallel electric field to the gas–water interface caused by plasma in-teracting ‘in the cavity’ render the surface more stable. This case study demonstrates the dynamics of liquids subjected to a plasma-induced forces, offering new insights into the physical processes and revealing an interdependence between weakly ionized plasmas and deformable dielectric matter, including plasma–water systems, and their potential stabilization.
Contact: Prof. Wonho Choe Korea Advanced Institute of Science and Technology, Korea wchoe@kaist.ac.kr
Source: Nature 592, 49-53 (2021). https://www.nature.com/articles/s41586-021-03359-9.
New Resources
Submit your announcement for New Resources to iltpc-central@umich.edu.
Career Opportunities
PhD and Post-Doc Positions in Environmental/Biomedical Plasma Applications, Comenius University, Bratislava, Slovakia
Division of Environmental Physics, Faculty of Mathematics, Physics and Informatics of Comenius University in Bratislava, Slovakia is currently seeking highly qualified applicants for:
- 4-year PhD program, starting in March 2022
- 1-year Post-Doctoral position starting in October 2021
Topic: Electrical discharges in catalysts. Plasma catalysis for flue gas cleaning.
Objectives: The main objective is to investigate the mutual interaction of electric discharges generating non-thermal plasma and materials with catalytic properties. Investigation of properties of discharges generated on surfaces, in capillary tubes, cavities and pellets of materials with catalytic properties, using both classical and new electrical and optical diagnostic methods, supplemented with a theoretical analysis.
- Electrical measurements and optical measurements of excited species, spatial distribution of temperature across the catalysts.
- Chemical activity of discharges measured by UV and FTIR spectroscopy. Search for optimal conditions for the generation of high concentrations of various oxidants and other reactive species.
- Removal of selected components of the flue gas, e.g., aromatic or polyaromatic hydrocarbons, cleaning of a real flue gas from the diesel engine.
- Surface analysis of the catalysts. Identification of solid products deposited on the surface by SEM, EDX and ATR FTIR. Regeneration of the catalysts.
For information and application details, contact: Dr. Karol Hensel hensel@fmph.uniba.sk
Post-Doc Position in Environmental/Biomedical Plasma Applications, Comenius University, Bratislava, Slovakia
Division of Environmental Physics, Faculty of Mathematics, Physics and Informatics of Comenius University in Bratislava, Slovakia is currently seeking highly qualified applicants for:
- 1-year Post-Doctoral position starting in October 2021
Topic: Applications of cold plasmas combined with photo-catalysis for indoor air decontamination.
Motivation: Actual global pandemic situation with pathogenic aerosols including SARS-CoV-2, and other indoor chemical/microbial contaminants.
Objectives: Addressing fundamental complex questions of the principles of operation and finding synergies of cold atmospheric air plasma and UV-induced photocatalytic processes.
- Investigation of the physical and chemical effects of electrical discharges generating cold plasma on water aerosols. Characterization of with respect to the formation of ozone, NO and NO2.
- Investigations of the modes of operation of the combined technology of cold plasma and photocatalysis on TiO2 or other photocatalysts, to achieve the highest possible decontamination efficiency.
- Optimizing the efficiency of the plasma-catalytic systems while eliminating toxic gases at the outlet of the device. Searching for conditions for strengthening the formation of radicals and chemical processes ensuring chemical and antimicrobial activity and subsequent destruction of excess O3 and NOx.
For information and application details, contact: Prof. Zdenko Machala machala@fmph.uniba.sk
Post-Doctoral Opportunity: Computational and Theoretical Modeling of Low Temperature Magnetized Plasmas, Stanford University, USA
The Plasma Dynamics Modeling Laboratory (PDML) in the Department of Aeronautics and Astronautics at Stanford University (California, USA) is seeking a postdoctoral research fellow. The position is focused on development of computational and theoretical models to understand the physics of low-temperature plasmas in cross-field discharges and high-power microwave sources.
The postdoctoral research fellow must have a Ph.D. degree in Physics or Engineering, with a particular focus in plasma science, rarefied gas dynamics, computational fluid dynamics, numerical modeling, or closely related fields. Expertise in developing kinetic (particle- and grid-based) and fluid models, preferably with experience in high- performance computing, is strongly desired. Highly motivated and hardworking candidates with a strong background in computational plasma and fluid dynamics are encouraged to apply.
More information about the research group
Applicants are invited to send a resume/CV, including a list of publications, a brief statement of research interests, and a list of three references to: Prof. Ken Hara Stanford University kenhara@stanford.edu
PhD Position: Plasmas for Medical Sterilants, Eindhoven University of Technology, The Netherlands
TU/e offers a PhD position (4 years) in plasma organic chemistry at the Department of Electrical Engineering, Electrical Engineering Systems group. We are looking for a candidate with a strong background in both organic and analytical chemistry and preferably additional experience with - or at least - a firm affinity for plasma chemical, biomedical and electrophysical processes.
Project description:
Sterilization of medical equipment generally proceeds by several process steps using mechanical, thermal, radiative and/or chemical technologies. Latter based sterilization comprises the use of organic peroxides, exhibiting destructive potential towards a broad spectrum of pathogenic microorganisms. However, drawbacks of these sterilants are the high application cost per cleaning cycle and safety issues with handling, shipping, and storage. An attractive solution to these problems would be in-situ sterilant synthesis. This PhD trajectory will focus on plasma-induced chemical synthesis of organic peroxide-based sterilants using safe commodity precursors. Contrary to thermal activation, plasma chemistry uses energetic electrons to overcome the activation energy barrier of chemical reactions, where process-dependent potential efficiency gain may be reached.
Your tasks will comprise investigation of suitable and safe precursor recipes, identification of appropriate diagnostics to monitor organic peroxides & general chemical reactivity, plasma reactor design, mapping of critical plasma parameters & process conditions, process optimization and validation of plasma-synthesized sterilant formulations in cooperation with an important OEM in medical equipment disinfection systems and related biomedical research partners. In this unique assignment, your efforts will contribute to the medical profession on biomedical & chemical safety, green chemistry and process flexibility!
Requirements:
- A master’s degree (or an equivalent university degree) in Chemistry, CGPA ≥80%
- A research-oriented, proactive, independent attitude and strong motivation
- Inspired by interdisciplinary research and teamwork including external partners
- Fluency in spoken and written English
Information and application:
Do you recognize yourself in this profile and would like to apply? Direct applications can be made here by July 4, 2021.
For more information, please contact: Dr.ir. Wilfred F.L.M. Hoeben Assistant Professor, Eindhoven University of Technology, The Netherlands w.f.l.m.hoeben@tue.nl
Collaborative Opportunities
Please submit your notices for collaborative opportunities to iltpc-central@umich.edu.
Disclaimer
The content of this Newsletter comes from the contributions of members of the ILTPC. The Newsletter editors are attempting to provide as inclusive a communication as possible. However, inclusion of items in the Newsletter should not be interpreted as an endorsement by the editors nor as advertisement for commercial purposes. The content of this newsletter should also not be interpreted as an endorsement by our sponsors – the US National Science Foundation, the US Department of Energy, or the University of Michigan. The Newsletter editors may do some light editing of the original submissions, to maintain a consistent tone and style.






