ILTPC Newsletter 19
15 December 2021
Download the Newsletter as a PDF file
Table of Contents
- Call for contributions
- Images
- LTP perspectives
- Leaders of the LTP Community
- Tribute: Dr. Isaiah Blankson
- General interest announcements
- Meetings and online seminars
- Community initiatives and special issues
- Research highlights and breakthroughs
- New resources
- Career opportunities
- Collaborative opportunities
Call for Contributions
Please submit content for the next issue of the Newsletter. Please send your contributions to iltpc-central@umich.edu by January 19, 2022. Please send contributions as MS-Word files if possible – and avoid sending contributions as PDF files.
In particular, please send Research Highlights and Breakthroughs using this template. The highlight consists of an image and up to 200 words of text; please also send your image as a separate file (the recommended image format is JPG or PNG; the minimum file width is 800 px). The topic can be anything you want - a recently published work, a new unpublished result, a proposed new area of research, company successes, anything LTP-related. Please see the Research highlights and breakthroughs for examples.
Images to Excite and Inspire!
Thank you for submitting your images, some of which are shown here. Those images already submitted will appear in later Newsletters. Please do send your images (with a short description or source) to iltpc-central@umich.edu. The recommended image format is JPG or PNG; the minimum file width is 800 px.
(Click the image to enlarge.)
Mr. Said Raskar (raskar.1@osu.edu) and Prof. Igor Adamovich (adamovich.1@osu.edu), Ohio State University, USA.
Dr. Petr Hoffer, Institute of Plasma Physics of the CAS, Czech Republic, hoffer@ipp.cas.cz.
Source: Hoffer et al, Plasma Sources Sci. Technol. (2021). https://doi.org/10.1088/1361-6595/ac3bd6.
LTP Perspectives: Policy, Opportunities, Challenges
Plasma Propulsion – Extrapolating to Space
The transport of humans to Mars and other parts of our solar system requires efficient high-power electric propulsion (EP) technology to propel the spacecraft. State-of-the-art EP devices convert propellant into low-density plasma and then exhaust the plasma at high velocity to generate thrust. Many groups have mastered the design, characterization, and flight of low-power EP. Yet, the next generation of space exploration requires EP devices that operate at the 100 kW power level. While devices of this scale have been operated in existing ground-based test facilities, we have little confidence in our ability to extrapolate the test results to in-space performance.
Much of the uncertainty in predicted in-space EP performance is an artifact of the effects of the ground-based vacuum facility on the ionization, acceleration, and electrical circuit of the plasma. For example, residual background gas in the vacuum facility can impact the plasma ionization and acceleration zones; the conducting facility walls can impact the electrical paths in the exhaust plasma plume and the stability of the discharge. To improve our confidence in predictions of in-orbit EP performance, the plasma community must address three key system-level knowledge gaps in collaboration with related fields. First, we must understand the impact of facility pressure on the ionization and acceleration of the propellant as well as plasma plume properties. Second, we must understand the impact of electrical paths created between the plasma and the facility that are not present in the space environment. Third, we must understand how the system of plasma models contributes to the uncertainty in the predicted in-space performance.
Incohesive, single PI investigations have not addressed the system-level knowledge gaps encountered in EP plasmas. For example, the last decade has included enormous gains in computational power as well as significant advancements in the spatial and temporal resolution of non-invasive diagnostics. Yet, commensurate progress toward filling system-level gaps has not occurred. The challenge is that the non-spacelike properties of the vacuum facility lead to a plethora of complex, coupled physical processes beyond the scope and expertise of a single PI.
To realize our space exploration goals requires collaboration across the many subfields of low-temperature plasma physics and robust integration of related science and engineering disciplines. Let’s use our collective knowledge to answer the unaddressed questions of EP.
Prof. Mitchell L. R. Walker Georgia Institute of Technology, USA mitchell.walker@ae.gatech.edu
Leaders of the LTP Community: Career Profiles
Prof. Dr. Uwe Czarnetzki - From Atomic Physics to Plasma Diagnostics and Low Temperature Plasma Science
Uwe Czarnetzki started his academic career in 1979 by studying physics at the University of Essen, Germany, where he received his diploma in 1985 and his PhD in 1991. He then spent one year as a postdoctoral researcher at Kyushu University, Japan, based on an Alexander von Humboldt - JSPS longterm fellowship. His academic education was completed in 1999 by his habilitation at the University of Essen, Germany, on the application of selected methods of non-linear optics to plasma diagnostics. Since 2001 he has been a full professor at the Department of Physics at the Ruhr-University Bochum, Germany, where he leads a world renown group on Atomic and Plasma Physics.
Prof. Czarnetzki served on the editorial board of the Journal of Physics D: Applied Physics, the Japa-nese Journal of Applied Physics, and Plasma Sources Science and Technology for many years. From 2008 to 2014 and in 2016 he had been Associate Editor of J. Phys. D and PSST, respectively, before he led Plasma Sources Science and Technology as Editor-in-Chief from 2017 to 2019. He is one of the driving forces behind the Low Temperature Plasma Roadmap Article Series that has been published every 5 years in J. Phys. D since 2012 and provides a unique overview of hot research topics in this field. From 2008 until 2011 he led the Department of Physics and Astronomy at the Ruhr-University Bochum, Germany, as its dean and in 2017 he was an appointed professor at Osaka University, Japan. Another important service activity to our community is his support of the Gaseous Electronics Conference (GEC). He organized the GEC in Bochum, Germany, in 2016 as GEC Secretary and served on the GEC Executive Committee twice.
Since the beginning of his career Uwe Czarnetzki has been focusing on understanding the fundamentals of atomic and low temperature plasma physics. To do this he combined experiments, theoretical modeling, and computational simulations in a unique way. To obtain experimental access to the parameters required for such detailed insights, he developed and improved various plasma diagnostics. Clearly, he made seminal contributions to the fields of plasma diagnostics and low temperature plasma science. These range from a detailed understanding of charged particle power absorption in various types of low and atmospheric pressure plasma sources to the discovery of the Electrical Asymmetry Effect, the development of new plasma sources such as the Inductively Coupled Array, and his work on plasma diagnostics such as laser electric field measurements and optical emission spectroscopy. For his work he won several awards such as the Plasma Physics Innovation Award of the European Physical Society (2010), the Von Engel & Franklin Award of ICPIG (2017), and the ISPlasma Prize (2018). For his continued achievements on the scientific and cultural exchange between Japan and Germany he received the Jade-Award in 2015.
As one of his former PhD students, I have been admiring his enthusiasm, consistent focus on the importance of understanding the fundamentals as the basis of scientific progress and his insistence on the highest quality standards until today. His ability to reduce complex problems to the basics and capture their essence in the frame of a simple model is truly unique. Low temperature plasma science would not be where it is now without him.
Prof. Julian Schulze Ruhr-University Bochum, Germany schulze@aept.rub.de
Tribute: Dr. Isaiah Blankson
Dr. Isaiah Blankson – A Pioneer in Aerospace Applications of Plasmas
Dr. Isaiah Blankson, Senior Technologist in the Propulsion Division of NASA Glenn Research Center (GRC) passed away November 19, 2021. Isaiah was an inspiring colleague and friend to many at GRC and in the hypersonics, plasma propulsion and non-equilibrium plasma communities. He was renowned for his extraordinary intelligence and playful wit. His science curiosity was infectious, spanning many from the environment sciences to spaceflight. Isaiah was born in Cape Coast, Ghana. He received his academic degrees from MIT in aerospace and astronautic engineering. His doctoral work launched him into the field of hypersonics. For his thesis, he utilized a model magnetic suspension and balance system to study hypersonic flows around a model. Years later at NASA Isaiah returned to magnetic levitation systems more broadly including applications such as a novel space launch system with a reuseable first stage and a hypersonic maglev train. This suspension method for aerodynamic studies of models eliminates support interference in wind tunnel tests and enabled realistic testing of dynamic stability, unsteady aerodynamic phenomena, unsteady separation and wakes. Upon graduating from MIT, Isaiah joined Webster Research Laboratory. There he worked on diverse topics such as the electro-hydrodynamics of high-speed ink jetting printing and electro-gas dynamics. He then moved to General Electric to research hypervelocity plasma armature projectile launchers. His work on megawatt circuit breakers is particularly notable. These contained ablative electrophilic decomposition products that vaporized in the presence of an arc, arresting the discharge and breaking the circuit. Such effects were investigated by Isaiah at GRC for reducing electron density in communication blackout plasmas for reentry vehicles.
In 1988 Isaiah joined NASA headquarters where he served as deputy director of the Hypersonics Research Directorate. He also served as the program manager for development of a National AeroSpace Plane, a passenger spaceliner capable of hypersonic flight. Isaiah later joined GRC in 1993 where he continued to innovate. He was the co-inventor of the revolutionary exoskeleton engine which replaced the rotating shaft turbine blades of a conventional jet turbine with blades attached to a rotating drum. Elimination of the central shaft opens up the channel leading to reduced noise as well as makes the engine amenable to ram jet embodiments. He was also co-inventor of the MHD bypass engine which extends the operating range of conventional turbojet engines to Mach 7 by slowing the incoming flow to Mach 3 where a conventional turbojet could operate. Isaiah also carried out extensive research in plasma-based water purification. He investigated the use of ns-pulsed plasmas for introducing reactive species in water to remove contaminants. His interests also extended to biomimicry where he sought inspiration from nature to improve the performance of high-speed aerospace vehicles. Indeed, he and Vikram Shyam establish a working group on biomimicry which led to the hosting of a national symposium.
Isaiah had collaborations with many universities, serving as thesis committee member for many students. He took particular interest in mentoring underrepresented minorities based on his own experiences as being the first African to receive a PhD in aerospace engineering. His mentoring resulted in establishing two NASA centers of excellence in aerodynamics at two different historically Black colleges. He received several awards for his contributions, including AIAA Fellow, NASA Exceptional Service Medal, and the NASA Exceptional Technology Achievement Medal. His passing is great loss to GRC and the plasma community. He will be mourned by aerodynamicists around the world.
Prof. John E. Foster University of Michigan, USA jefoster@umich.edu
General Interest Announcements
ALD Stories Podcast
The ALD (Atomic Layer Deposition) Stories podcast was created in 2020 as gathering place for the ALD community’s researchers, academics, and enthusiasts. Sponsored by Beneq, an ALD equipment manufacturer based in Finland, the podcast features renowned professors and industry re-searchers of ALD talking about their work, insights, stories and thoughts on all types of ALD topics. Learn about topics spanning the history of ALD to specific fields like plasma-enhanced ALD to sustainability efforts and more. Join host Tyler Myers, Beneq’s Technical Marketing Manager and a University of Colorado graduate from ALD staple Steven George’s group, as he chats with the likes of Erwin Kessels (Eindhoven University), Riikka Puurunen (Aalto University), and Jonas Sundqvist (BALD Engineering) about the latest and most interesting happenings in the world of Atomic Layer Deposition. You can find the podcast on the Beneq YouTube channel, Spotify, Google Podcasts, Apple Podcasts and more.
- https://podcasts.apple.com/fi/podcast/ald-stories-podcast/id1530164094
- https://music.amazon.com/podcasts/241b5d24-8933-4524-b158-c423a627f84e/ald-stories-podcast
- https://open.spotify.com/show/51i69jeWEb8BhmkbJ135Um
Contact: Dr. Tyler Myer Beneq Oy, Finland tyler.myers@beneq.com
Meetings and Online Seminars
International Online Plasma Seminar (IOPS)
The International Online Plasma Seminar (IOPS) is a seminar series on low temperature plasma science (LTPS). The seminars are presented bi-weekly via Zoom. The new program for January to June 2022 will soon be decided. The program and information about IOPS can be found here. Nominations for future speakers can also be made from this page. The archive of past seminars is available here.
Online LTP Seminar (OLTP)
The schedule of the Online Low Temperature Plasma (OLTP) Seminar series for January to June will soon be announced, and will be available here. The archive of past presentations is also available at this link. To obtain the Zoom link to attend the seminars, contact Dr. Anne Bourdon (anne.bourdon@lpp.polytechnique.fr) or Dr. Igor Kaganovich (ikaganov@pppl.gov).
Merger of the OLTP and IOPS Online Seminar Series
Over the past few years, we have had the fortune of benefiting from two online LTP seminars where excellent lectures on plasma science and applications have been delivered. The International Online Plasma Seminar (IOPS) is now in its fourth year. The Online LTP Seminar (OLTP) series was started in May 2020 with the goal of remedying the lack of in-person conferences/workshops due to the COVID-19 pandemic.
The leadership of IOPS and OLTP have agreed to merge the two seminar series to enable better coordination and ultimately bigger impact. This merger is planned to occur in two stages. In the first stage, from January to June 2022, IOPS and OLTP will continue to be run as they are now, but will be managed under the umbrella of the Gaseous Electrons Conference (GEC). There will be joint talks between the IOPS and OLTP, and the seminars will be announced as OLTP-IOPS Seminars. The current archive of past seminars (presentations and videos) will be moved from their current location on the MIPSE website to the GEC website. During this period a committee will work on the final format and organization details for the merged seminar series, including the future speaker selection process. Starting July 2022, the seminars will formally merge and will be run under the auspices of the GEC with the tentative name of Online Plasma Science Seminar (OPSS). More details will be forthcoming as we get closer to the merging date.
Contacts: Dr. Anne Bourdon and Dr. Igor Kaganovich OLTP Co-Chairs anne.bourdon@lpp.polytechnique.fr, ikaganov@pppl.gov Dr. Kallol Bera IOPS Chair kallol_bera@amat.com
Community Initiatives and Special Issues
Please submit your announcement for Community Initiatives and Special Issues to iltpc-central@umich.edu.
Research Highlights and Breakthroughs
Cold Plasmas in the Fight Against Cancer Providing New Detection Methods
The potential benefits of cold atmospheric pressure plasmas (CAP) in the treatment of cancer are well known and established for the last two decades. There exists a great deal of volume of work including numerous in-vitro and in-vivo experiments from around the world demonstrating the potential efficacy of such a treatment.
The work shown here takes a different and complementary approach. It focuses on detection and not treatment. Both treatment and detection are important in the fight against cancer. The motivation of this research highlight is to, perhaps, inspire the very capable and resourceful LTP community to start considering CAPs for the detection of cancer and other diseases. The custom-made device shown in the image feeds in cancer biomarkers commonly found in saliva through one of its ports. The biomarkers are first ionized by the Flexible Micro Tube Plasma (FμTP) and then sent for detection to a mass spectrometer (MS). This device was used for 13 different biomarkers and showed an average improved detection limit by a factor of 2.5.
The FμTP and other CAPs are attractive because they are ambient (that means less sample preparation, less handling, higher throughput) and they produce soft ionization (does not fragment the analyte) making the detection of the analyte easier.
Contact: Dr. David Moreno Gonzalez University of Jaen, Jaen, Spain dmgonzal@ujaen.es
Source: P. Vogel, et al., Anal. Chem. 92, no. 14, pp. 9722–9729 (2020). https://pubs.acs.org/doi/abs/10.1021/acs.analchem.0c01063.
Selective Apoptotic Effect of Plasma Activated Liquids on Human Cancer Cell Lines
Plasma medicine is a new field focusing on biomedical and clinical applications of cold gas plasmas, including their anticancer effects. Cold plasmas can be applied directly or indirectly as plasma-activated liquids (PAL). The effects of plasma-activated cell growth medium (PAM) and plasma-activated phosphate buffered saline (PAPBS) were tested, using a plasma pen generating streamer corona discharge in ambient air, on different cancer cell lines (melanoma A375, glioblastoma LN229 and pancreatic cancer MiaPaCa-2) and normal cells (human dermal fibroblasts HDFa). The viability reduction and apoptosis induction were detected in all cancer cells after incubation in PAL. In melanoma cells we focused on detailed insights to the apoptotic pathways.
The anticancer effects depend on the plasma treatment time and PAL concentration. The first 30 min of cancer cell incubation in PAL were enough to start processes leading to cell death. In normal fibroblasts, no apoptosis induction was observed even for 24 h incubation, and only PAPBS, activated for a longer time, slightly decreased their viability. Effects of PAM and PAPBS on cancer cells showed selectivity compared to normal fibroblasts, depending on correctly chosen activation time and PAL concentration, which is very promising for potential clinical applications. This selectivity effect of PAL is conceivably induced by plasma-generated reactive species, especially hydrogen peroxide.
Contact: Dr. Helena Gbelcova and Prof. Zdenko Machala Comenius University Bratislava, Slovakia helena.gbelcova@fmed.uniba.sk machala@fmph.uniba.sk
Source: D. Sersenova et al., Molecules 26, 4254 (2021). https://doi.org/10.3390/molecules26144254.
Standardizing Protocols for Plasma Agriculture and Other Applications
There is sufficient information as a proof-of-concept for biological applications of plasmas even in a young field like plasma agriculture, but a lack of standardization in the methodology prevents a proper evaluation of plasma treatment on seeds. It would be helpful to coordinate research efforts by establishing a common protocol. Therefore, this recently published review presents the parameters used in the seed preparation, the plasma treatment of the seed, and the seed posttreatment, all inspired by personal experience of trial and error. This summary of the plasma and biological parameters is intended to raise awareness about questions that need to be addressed to properly record protocol details and reproduce results for the plasma treatment of seeds.
I would like to reach out to the entire community to collaborate on answering some of the questions in the published review and address the core question of how to make the results comparable and reproducible. A workshop hosted by PLAGRI COST showed that many others are also focused on these issues.
Are there guidelines already established in other fields that can be applied here? Are there criteria already established on how to name the plasma devices so everyone will use the same nomenclature? What do we consider important and how can we reduce this variation in protocol so we can transfer this technology into industry?
It would be very useful if clear definitions and guidelines could be suggested, perhaps by those who are very experienced, in a document, which could be circulated within the community and somehow agreed upon. I realize that this is certainly not a trivial task and one that could take years to accomplish, however, it seems necessary in order to move plasma technology forward.
Contact: Dr. Alexandra Waskow EPFL, Switzerland alexandra.waskow@epfl.ch, alexandra.waskow@gmail.com
Source: Waskow, A., Avino, F., Howling, A., Furno, I., Plasma Processes Polym., e2100152 (2021). https://doi.org/10.1002/ppap.202100152.
3D Computations in the Discharge Channel of the COST Reference Jet
The discharge channel of the COST reference jet is delimited by two opposing stainless steel electrodes and two opposing quartz panes (dielectrics). Due to proximity of the inter-electrode to the inter-dielectric distance (ratio equal to 1), the phenomena taking place in the inter-dielectric direction, and not considered in 1D and 2D models, cannot be ignored. Nevertheless, there is no 3D model in the literature.
A 3D plasma-fluid model1 is developed for cross-field plasmas and applied to the COST jet operating with a He/O2 mixture. The model is based on the formalism and the assumptions of the 2D cross-field plasma model (CFPM)2, allowing for fast calculations of species densities in the discharge channel of the jet, with a computational cost close to that of a 2D model.
Critical for the densities of the neutral species are the surface reaction probabilities (SRPs) on dielectrics, which depend on pressure, temperature, gas mixture, and surface roughness. For case 1, the same values for SRPs on electrodes and dielectrics are considered, and O density decreases close to the dielectrics. For case 2, low values of SRPs for neutral species are assumed on dielectrics (10-4), and O density has a flatter profile along the inter-dielectric direction.
Contacts: Mr. Sotiris Mouchtouris National Technical University of Athens, Greece smouchtouris@mail.ntua.gr Dr. George Kokkoris Institute of Nanoscience and Nanotechnology NCSR “Demokritos”, Athens, Greece g.kokkoris@inn.demokritos.gr Prof. Andreas G. Boudouvis National Technical University of Athens, Greece boudouvi@chemeng.ntua.gr
Source:
- 74th Gaseous Electronics Conference (2021). https://meetings.aps.org/Meeting/GEC21/Session/KW81.47.
- Plasma Sources Sci. Technol. 30, 01LT01 (2021). https://doi.org/10.1088/1361-6595/abccfc.
Initiation and Formation of Standing Striations in a Nitrogen Glow
Plasma striations (i.e., alternating bright and dark area) has been studied for more than a century for both dc and rf power sources. Despite the many experimental studies on this topic theoretical and numerical modeling of this phenomena have been mostly limited to rare gases. In this work, a one dimensional fluid model has been developed that employs ambipolar diffusion of the charged species as the source of radial losses. Detailed kinetics of electrons and vibrationally excited molecules are considered. The proposed model predicts self-excited standing striations in moderate pressure nitrogen for a range of discharge currents. The results indicate that the vibrational excitation of molecules and the ambipolar diffusion to the walls are essential in pre-dicting the striation patterns in the considered range of discharge conditions. The study confirms that the electron energy loss associated with the vibrational excitation of nitrogen molecules could trigger instability and plasma stratification. The striations result from the undulations in electron temperature caused due to the interaction between ionization and vibrational reactions. Furthermore, the vibrationally excited molecules associated with the lower energy levels influence nitrogen plasma stratification and the striation pattern strongly. A balance between ionization processes and electron energy transport allows the formation of the observed “standing” striations. This study also indentifies that when considering detailed kinetics of nitrogen the transport and reaction rate parameters obtained from a solution of local two-term and a multi-term Boltzmann equation provide distinctively different striation patterns.
Contact: Prof. Tanvir Farouk University of South Carolina, Columbia, USA tfarouk@sc.edu
Source: M. Tahiyat, J. Stephens, V. Kolobov and T. Farouk, J. Phys. D: Appl. Phys. 55, 085201, (2022). https://iopscience.iop.org/article/10.1088/1361-6463/ac33da.
Estimation of Electron Density and Temperature in an Argon Rotating Gliding Arc using Optical and Electrical Measurements
This work reports the average electron temperature (𝑇𝑒) and electron density (𝑛𝑒) of an atmospheric argon rotat-ing gliding arc (𝑅𝐺𝐴), operated in glow-type mode, under transitional and turbulent flows. Both 𝑇𝑒 and 𝑛𝑒 were calculated near the shortest (𝛿) and longest (Δ) gap between the electrodes by two different methods using two separate measurements: (1) optical emission spectroscopy (𝑂𝐸𝑆) and (2) physical–electrical. 𝑇𝑒 calculated from a collisional radiative model (𝐶𝑅𝑀) (𝑂𝐸𝑆) and BOLSIG+ using physical–electrical, reduced electric field (𝐸/𝑁𝑜) as input, differed from each other by 16%–26% at 𝛿 and 6% at Δ. 𝑇𝑒 was maximum at 𝛿 (>2 eV) and minimum near Δ (1.6–1.7 eV). Similarly, the 𝐸/𝑁𝑜 was maximum near the 𝛿 (5–8 Td) and minimum near Δ, reaching an asymptotic value (1 Td).
By benchmarking 𝑇𝑒 from 𝐶𝑅𝑀, the expected 𝐸/𝑁𝑜 near 𝛿 was corrected to 3 Td. The calculated 𝐶𝑅𝑀 intensity agreed well with the measured measurements for most of the emission lines, indicating a well-optimized model. The average 𝑛𝑒 near 𝛿 and Δ from Stark broadening (𝑂𝐸𝑆) was 4.8–8.0×1021 m−3, which is an order higher than the 𝑛𝑒 calculated through current density (physical–electrical).
Contacts: Dr. Lakshminarayana Rao Indian Institute of Science, Bangalore, India narayana@iisc.ac.in Dr. Reetesh Kumar Gangwar Indian Institute of Technology, Tirupati, India reetesh@iittp.ac.in
Source: Journal of Applied Physics 129, 223301 (2021). https://aip.scitation.org/doi/10.1063/5.0044014.
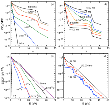
Advances in Non-equilibrium CO2 Plasma Kinetics: A Theoretical and Experimental Review
In this review, a synthesis of the current state of knowledge on the physical chemistry of cold CO2 plasmas is provided, collecting the most recent results obtained by several European research groups (Belgium, France, Italy, Netherlands, Portugal and Russia). It reports the results of advanced simulations and experimental investigations recently carried out to better understand the activation (dissociation) of CO2 in non-equilibrium plasmas. The importance of performing joint experimental, theoretical and modeling studies to clarify the complex behavior of CO2 plasmas emerges throughout the paper.
Particular attention is devoted to in situ measure-ments of excited species densities and physical pa-rameters (electric field and temperatures), and to the study of individual collisional processes, providing information for developing and refining models. From the modeling point of view, the CO2 research community have already implemented sophisticated 0D global models in good agreement with experi-mental investigations. Special attention is paid to the development of accurate vibrational kinetic models using a state-to-state (STS) approach for the vibrational distributions, showing the importance of self-consistent calculations with the Boltzmann equation for the electron energy distribution functions. The paper provides the state of the art of modeling input data, such as STS heavy-particle rate coefficients and electron impact cross sections, highlighting the fundamental data still missing. The role of surface in contact with the plasma and the need for 2D/3D models to describe complex reactor geometries are also discussed. The possible routes that still need to be investigated for a better comprehension of CO2 non-equilibrium plasmas have been analyzed.
Contacts: Dr. Lucia Daniela Pietanza CNR-ISTP, Bari, Italy luciadaniela.pietanza@cnr.it Dr. Olivier Guaitella CNRS-LPP, Paris, France olivier.guaitella@lpp.polytechnique.fr
Source: L. D. Pietanza et al., Eur. Phys. J. D 75: 237 (2021). https://doi.org/10.1140/epjd/s10053-021-00226-0.
New Resources
Please submit your announcement for New Resources to iltpc-central@umich.edu.
Career Opportunities
Research Fellow (Aerospace/Mechanical), Satellite Aerodynamics Simulations, Nanyang Technological University, Singapore
The School of Mechanical & Aerospace Engineering (MAE) invites applications for the position of Research Fellow. The Research Fellow (RF) will work on a project with an overarching goal to launch a compact, high-power satellite and operate it at the very-low Earth orbit (VLEO) altitude. Studies have shown that aerodynamics drag and moment can be significant for this range of operation.
Key responsibilities:
- Develop a base gas kinetics solver (e.g., direct simulation Monte Carlo method) to capture the VLEO gas dynamics phenomena over the satellite body.
- Collaborate with thruster team and overseas experts to couple base gas kinetics solver with a plasma solver (e.g., particle-in-cell technique) to account for charge exchange effects over the satellite body.
- Incorporate optimizer (e.g., surrogate-based) with gas kinetics solver to investigate how satellite shape can be modified to improve drag coefficient and stability.
- Couple gas kinetics solver and optimizer with an orbital mechanics solver (e.g., FreeFlyer) to evaluate the effects of shape/size optimization on orbit life cycle.
- Gather scientific insights by working with the rest of aerodynamics team on tasks such as comparing results from other gas kinetics solver and developing multi-dimensional gas kinetics/plasma solver.
Job requirements:
- Ph.D. in Aerospace, Mechanical, or fields that relate to fluids mechanics, gas kinetics, particle methods, and CFD.
- Good knowledge and experience in gas kinetics programming, particle methods, or at least CFD programming (i.e., a developer and not just a user).
- Publication track record is an advantage.
- Good command of written and spoken English.
Contact: Prof. Wai Lee Chan Nanyang Technological University, Singapore chan.wl@ntu.edu.sg
PhD Position in Research Unit Plasma Technology, Department of Applied Physics, Ghent University, Belgium
Ghent University, Research Unit Plasma Technology and Laboratory of Chemical Technology are looking for a PhD candidate to study a novel pathway in direct reforming of natural gas to olefins utilizing non-thermal high power plasma. The research will be performed as joint innovation project between Research Unit Plasma Technology and the Laboratory of Chemical Technology of the Ghent University (Belgium).
Context:
The production of light olefins via steam cracking of hydrocarbons is the backbone of the chemical industry. Current technology is fully based on natural gas combustion and is responsible for a very high level of CO2 emission. The main objective of the project is to drastically reduce CO2 emissions of olefin production by replacing the combustion furnaces, responsible for 90% of the CO2 emissions of this process, with new non-thermal plasma catalytical reactor concepts. Next to substantial CO2 reduction the project will demonstrate an increase in valuable light olefin yields with the use of non-thermal pulsed plasma. By combining all experience and knowledge obtained throughout this project, a techno-economic analysis of the plasma technology and plasma-based plant will be performed to develop a roadmap to describe the transition of the project from basic research into an industrial applied technology. The PhD position will focus on engineering and studying high power short-pulsed plasmas by fast imaging methods, optical emission techniques and laser fluorescence spectroscopy. The student will work as a joint PhD student in close cooperation of two teams from Ghent University as well in cooperation with industry.
Profile:
We are looking for candidates with an MSc degree in electrical engineering, chemical engineer-ing, physics or applied physics. A good background in plasma physics, spectroscopy, or good experimental skills with optics and electronics are desirable. The PhD student will be able to gain experience in the areas of chemical engineering, plasma diagnostics, and plasma technology. The PhD student is required to demonstrate English language proficiency at the latest upon enrolment at level B2.
Contact: Dr. Anton Nikiforov Ghent University, Belgium Anton.Nikiforov@UGent.be
Computational Plasma/EM Scientist or Engineer, Tech-X, Boulder, USA
Tech-X Corporation is seeking computational scientists or engineers with a background in a physical science or engineering field, with a preference for a background in plasma physics or electromagnetics of structures. Tech-X has opportunities for research and product development. The selected candidate(s) will be instrumental in Tech-X’s path forward.
Key responsibilities:
- Develop algorithms and methodologies applicable to high-performance computation for electromagnetics and plasmas, particle-in-cell, collisional processes, fluid dynamics methods, and/or Monte Carlo methods.
- Work with a team to implement new capabilities potentially including porting software to emerging computing devices (e.g., GPU, SIMD), making software available on the cloud.
- Define and develop research programs.
Required skills:
- Numerical methods such as finite difference, finite element, particle-in-cell methods, Monte Carlo methods, embedded boundary methods.
- One or more of the following research areas: Plasma Physics, Electromagnetics of Structures, Lasers, Photonics, Semiconductor Device Modeling, Radiation Modeling, Fluid Dynamics.
- Ability to communicate science and engineering concepts.
- Ability to work within a small company and directly across functions.
Desired skills:
- Cross-platform development, specifically CMake.
- Familiarity with one or more of distributed memory (MPI) computing; thread- based, vector-instruction based, GPU computing.
Education:
PhD in computational science and/or engineering.
Experience:
We are interested in candidates at all levels, from new Ph.D. graduates to more senior candi-dates for defining and leading a research program.
Company description:
Located in Boulder, Colorado, Tech-X Corporation specializes in computational science and engineering using new software development paradigms. Our work is aimed at understanding physics via modern computational methods, high-performance computing, advanced visualization, and distributed computing technologies.
Contact: Dr. John Cary Tech-X Corp., Boulder, Colorado, USA cary@txcorp.com
Postdoc Position, Optical Diagnostics of Low-temperature Plasmas, IPP Prague, Czech Republic
The Department of Pulse Plasma Systems of the Institute of Plasma Physics of the ASCR (Prague, Czech Republic) invites applications for postdocs to work on the development of optical diagnostics (120-1100 nm spectral range, with enhanced spatiotemporal resolution). Our research group focuses on streamer-based discharges in atmospheric gases and nanosecond discharges in water.
An overview of our current activities is available at the following websites:
- https://www.researchgate.net/project/Advanced-research-of-kinetic-processes-in-streamer-discharges
- https://www.researchgate.net/project/Fundamental-phenomena-of-a-nanosecond-discharge-in-liquid-water
The postdoc position is offered for 1 year (full-time basis only) with the possibility of extension for another two years.
Basic requirements for candidates:
- PhD in experimental plasma physics (or equivalent).
- Practical experience with OES/LIF/TALIF + data processing/analysis.
- Sufficient track record of high-quality journal publications.
- Fluent English.
- Programing skills in LabVIEW (not mandatory but is considered an advantage).
Contact: Dr. Milan Šimek Institute of Plasma Physics of the Czech Academy of Sciences, Czech Republic simek@ipp.cas.cz
Applied Materials, Plasma Etching Technology Group, Santa Clara, CA, USA
The position is for an experimental physicist / electronics engineer to join Etch Technology Group. A successful candidate will possess the expertise in both experimental plasma physics and electronics engineering that is required for development of the plasma diagnostics and characterization of plasma interaction with bias/plasma sources.
- Ph.D. degree in Physics or Engineering. Plasma Physics, Electrical / Aerospace / Nuclear / Chemical Engineering or similar field is preferred.
- Deep understanding of theory and experiment.
- Using and developing various diagnostics for voltage and plasma measurements (probes, spectroscopy, electrical circuits).
- Carrying out a detailed experimental characterization of complex plasma systems with data analysis and conclusions.
- Strong background in analytical, statistical modeling and analysis.
- Demonstrates in-depth and/or breadth of expertise in own discipline and broad knowledge of other disciplines within the team.
- Quick learner of new technologies.
- Ability to work independently as well as part of a team.
Location: Santa Clara, CA (relocation required).
Contact: Dr. Leonid A. Dorf Etch Technology Development, Applied Materials, USA leonid_dorf@amat.com
APPLAuSE PhD Program: Advanced Program in Plasma Science and Engineering, Universidade de Lisboa, Portugal
A new call is open to grant 3 PhD fellowships within the framework of the APPLAuSE Doctoral Programme.
APPLAuSE is a doctoral program on Plasma Science and Engineering consisting in a student-centered and highly modular PhD program designed to enhance each student’s capabilities and maximize his/her potential. The APPLAuSE Doctoral Programme is funded by the Portuguese Foundation for the Science and Technology and is promoted by the Instituto de Plasmas e Fusão Nuclear from Instituto Superior Técnico, Universidade de Lisboa, Portugal.
Each PhD program has a duration of four years. Successful applicants will be awarded a fellowship for this period and have the opportunity to enroll in an exciting and international research environment.
Start date: September 2022. Application deadline: 28 January 2022.
Contact: Prof. Vasco Guerra Universidade de Lisboa, Portugal vguerra@tecnico.ulisboa.pt
Director of Technology, NanoGuard Technologies, Inc., St. Louis, MO, USA
NanoGuard Technologies is an early-stage venture-capital-backed company whose aim is to prevent unnecessary food waste and protect the world from illness-causing mycotoxins and pathogens. We are receiving tremendous international interest in our technology and are aggressively pursuing commercialization. We are seeking a plasma scientist to serve as our Director of Technology and lead our technology improvement work. This position requires expertise in high voltage atmospheric cold plasma science coupled with fluency in microbiology. Additional expertise in food science is valuable but not essential.
Key responsibilities include:
- Provide technical leadership to continually improve customer product contaminant treatments.
- Provide technical input to our next generation plasma generator design.
- Lead our team of engineers and scientists to develop additional innovative treatment solutions.
- Represent NanoGuard in technology application discussions with customers.
- Collaborate with the NanoGuard team to commercialize the technology. This includes contributions to the plasma generator design, input to regulatory approval requests, and expanding business development opportunities.
- Develop strategic and tactical study plans and issue study reports.
- Keep the NanoGuard team appraised of technology development opportunities and improvements.
Education and experience:
- PhD with 0 – 3 years of relevant experience. Position suitable for new PhDs or postdocs.
- Strong organizational and communication skills.
- Team player and collaborator.
Contact: Dr. Larry Clarke NanoGuard Technologies, Inc., USA lclarke@nanoguardtec.com
Computational Low Temperature Plasma Physics Postdoctoral Appointee, Sandia National Laboratories, Albuquerque, New Mexico, USA
Sandia National Laboratories is the US's premier science and engineering lab for national security and technology innovation. We are a world-class team of scientists, engineers, technologists, postdocs, and visiting researchers all focused on cutting-edge technology, ranging from homeland defense, global security, biotechnology, and environmental preservation to energy and combustion research, computer security, and nuclear deterrence.
We are seeking exceptional recent PhD graduates for a postdoctoral position to invent, develop, and apply models for the generation and transport of low temperature plasmas and ionized gases. Applications vary from fundamental research to fielded devices and project sponsors can span a spectrum of both internal and external customers including US federal entities and industry.
Sandia has a number of computational capabilities, including finite element, massively parallel, electrostatic and electromagnetic PIC and DSMC tools. A successful candidate will participate in research that seeks to understand one or more of: plasma chemistry, plasma-surface interactions, sheath physics, arc discharges (from vacuum to high pressure), vacuum insulator flashover, CCP systems, and more.
Responsibilities include extensive model development and simulation-based scientific investigation as part of a multi-disciplinary team. Activities typically involve close collaboration with experimentalists, and there is the potential to include experimental work in this role. A key part of this position is to support the Sandia Low Temperature Plasma Research Facility by engaging in collaborations with multiple external partners.
In addition to background in one or more of the above technical areas, job requirements include a recent PhD in a relevant discipline and an enthusiastic attitude. Candidates must be able to obtain and maintain a DOE security clearance, which requires U.S. citizenship.
For more information, see job id 679897 (”View All Sandia Openings” on the right).
Contacts: Dr. Matthew Hopkins and Dr. Shane Sickafoose Sandia National Laboratories, USA mmhopki@sandia.gov, smsicka@sandia.gov
PhD Position, High Frequency Signal Measurements, Research Group “Plasma Source Concepts”, Leibniz Institute for Plasma Science and Technology (INP), Greifswald, Germany
We are searching a PhD candidate interested in high frequency electrical signal diagnostics on gas discharges. The purpose of the project is to apply highly time-resolved electrical measurements on a transient plasma operated in argon at atmospheric pressure. The task is to develop the diagnostic tools in order to learn about the plasma dynamics and to determine absolute ion densities. The plasma sources are mainly proposed for biomedical applications. We offer a project position in Karlsburg near Greifswald, starting on 1 March 2022 for 3 years (30h/week).
Job activities:
- Develop and adapt a high frequency sensitive diagnostic system for weak current oscillations in cold atmospheric plasma (CAP) discharges.
- Evaluate the ion acoustic wave traces and quantify the ion density from the current signal in multiple CAP setups at different operating parameters.
- Interact with an interdisciplinary team from physicists to medical staff.
- Present your scientific results at scientific conferences and publish in journals.
Qualifications:
- Very good university-level qualification (Master of Science degree) in physics, electrical engineering or comparable subject areas.
- Experience in high frequency signal processing and measurement setups.
- Understanding of following would be helpful: electrical diagnostics, high frequency technology, gas discharge physics, non linear dynamics and plasma instabilities.
- Analytical competencies and problem-oriented thinking.
- Fluent English, German optional.
- Experienced team worker, willingness and enthusiasm for independent work.
- Very high communication skills.
Please apply with the common documents (cover letter, CV, references) giving the keyword “0448 PhD Position MAID” - preferably via our online application form until 3rd January 2022.
Contact: Dr. Torsten Gerling Research Group Leader, Plasma Source Concepts gerling@inp-greifswald.de
PhD Position, Plasma-fluid Mechanics, Research Group “Plasma Source Concepts”, Leibniz Institute for Plasma Science and Technology (INP), Greifswald, Germany
To advance towards a deeper understanding of the complex interaction between cold atmospheric plasma discharges (e.g., for medical application) and the surrounding fluid(s) as well as potential medical flows in general, the INP is going to build up a new gas flow test-rig. Initially, an older setup has to be modified into a versatile, stand-alone test setup for complex flow regimes. Primary focus of the test-rig are optical measurement techniques (such as 2D-2C PIV and spectroscopy). However, more common measurement techniques (pressure, volume flow, temperature) are going to be implemented as well. With an integral approach in mind, additional CFD simulations will go in parallel to the experiment. Using proven in-house plasma sources, the test rig is iteratively adapted to answer first questions regarding plasma-jet / fluid interaction. We offer a project position in Karlsburg near Greifswald, starting early 2022 for 3 years (26,67 h/week).
Job activities:
- Design and build a gas flow test facility with integrated control-loops and adaptable interfaces for multiple experiments.
- CFD simulations for crucial parts within the test facility.
- Take the first step into a deeper understanding of plasma discharge / fluid interaction using proven in-house plasma sources.
- Get familiar with top-notch measurement techniques, such as PIV, Fast-framing, robotics and advanced control-loops.
- Interact with an interdisciplinary team from physicists to medical staff.
- Present your scientific results at scientific conferences and publish in journals.
Qualifications:
- Very good university-level qualification (Master of Science degree) in mechanical engineering or comparable subject areas.
- Experienced with computational tools such as CAD, CFD.
- Experienced with CAM manufacturing tools (milling machine, lathe).
- Experienced with Rapid Prototyping (3D printing, FFF, SLA).
- General knowledge of measurement and control systems.
- Advanced programming skills in Python.
- Analytical competencies and solution-oriented thinking.
- Fluent English, advanced German.
- Experienced team worker, willingness and enthusiasm for independent work.
- Very high communication skills.
Please apply with the common documents (cover letter, CV, references) giving the keyword “0441 PhD Position Plasma-Fluid Mechanics” - preferably via our online application form until 3rd January 2022.
Contact: Dr.-Ing. Philipp Mattern Postdoc, Plasma Source Concepts philipp.mattern@inp-greifswald.de
Collaborative Opportunities
Please submit your notices for collaborative opportunities to iltpc-central@umich.edu.
Disclaimer
The content of this Newsletter comes from the contributions of members of the ILTPC. The Newsletter editors are attempting to provide as inclusive a communication as possible. However, inclusion of items in the Newsletter should not be interpreted as an endorsement by the editors nor as advertisement for commercial purposes. The content of this newsletter should also not be interpreted as an endorsement by our sponsors – the US National Science Foundation, the US Department of Energy, or the University of Michigan. The Newsletter editors may do some light editing of the original submissions, to maintain a consistent tone and style.




